(Pelajaran untuk siswa/i kelas 5 SD – 3 SMP)
I. Bilangan Bulat
Beberapa ratus tahun yang lalu Phytagoras mengatakan:
“Untuk menguasai alam semesta, kuasailah bilangan.”
Mengapa? Karena seluruh jagat raya ini dibangun dengan angka dan bilangan!
Bilangan bulat terdiri dari bilangan bulat positip, bilangan bulat negatif, dan nol. Himpunan bilangan bulat dilambangkan dengan B, dimana B = {…,-3, -2, -1, 0, 1, 2, 3, …}
Operasi pada bilangan bulat
1. Penjumlahan
a) Komutatif, a + b = b + a
b) Asosiatif; (a + b) + c = a + (b + c)
c) Tertutup; (a + b) Є bilangan bulat
d) Unsur identitas; a + 0 = 0 + a = a
2. Pengurangan
Pada sembarang bilangan bulat a, b, dan c berlaku sifat-sifat pengurangan :
a) Mengurangkan dengan suatu bilangan sama artinya menambahkan dengan lawan pengurangnya
Contoh : a – b = b + (-a)
(-a) adalah lawan dari a
b) Tertutup; (a – b) Є bilangan bulat
3. Perkalian
Sifat-sifat perkalian yang berlaku jika a, b, dan c merupakan bilangan bulat adalah sebagai berikut :
a) Komutatif; a x b = b x a
b) Asosiatif; (a x b) x c = a x (b x c)
c) Tertutup; (a x b) Є bilangan bulat
d) Unsur identitas ; a x 1 = 1 x a = a
e) Perkalian dengan 0; p x 0 = o x p = 0
f) Distributif ; a x (b + c) = (a x b) + (a x c)
a x (b – c) = (a x b) – (a x c)
4. Pembagian
Sifat-sifat pembagian yang berlaku jika a, b, dan c merupakan bilangan bulat adalah sebagai berikut :
Pembagian adalah operasi kebalikan dari perkalian
a : b = c ↔ b x c = a
![]() |
![]() |
Bilangan bulat berpangkat bilangan bulat
“pangkat ‘n’ dari suatu bilangan bulat dengan ‘n’ adalah bilangan bulat di definisikan sebagai perkalian bilangan tersebut ebanyak ‘n’ kali”
II. Bilangan Pecahan
Pecahan adalah salah satu materi yang sangat tidak disukai siswa. Materi pecahan ini dianggap sulit sehingga hasil pembelajarannya seringkali kurang memuaskan. Untuk itu diperlukan terobosan agar proses pembelajaran pecahan menjadi menarik bagi siswa.
![]() |
Operasi hitung pada pecahan
1. Penjumlahan dan pengurangan
Penjumlahan dan pengurangan dua pecahan atau lebih dapat dilakukan jika penyebut dari pecahan tersebut sama. Jika penyebutnya tidak sama maka penyebut-penyebut tersebut harus disamakan terlebih dahulu dengan menggunakan KPK dari penyebut-penyebutnya.
Karena penyebut dari kedua pecahan tersebut tidak sama, yaitu 6 dan 12 maka kita samakan terlebih dahulu dengan. KPK dari 6 dan 12 adalah 12, sehingga
Sifat-sifat penjumlahan dan pengurangan yang berlaku jika a, b, c, d, e, dan f merupakan sembarang bilangan bulat adalah :
Perkalian dan pembagian
Perkalian pada pecahan dilakukan dengan cara mengalikan pembilang dengan pembilang dan penyebut dengan penyebut.
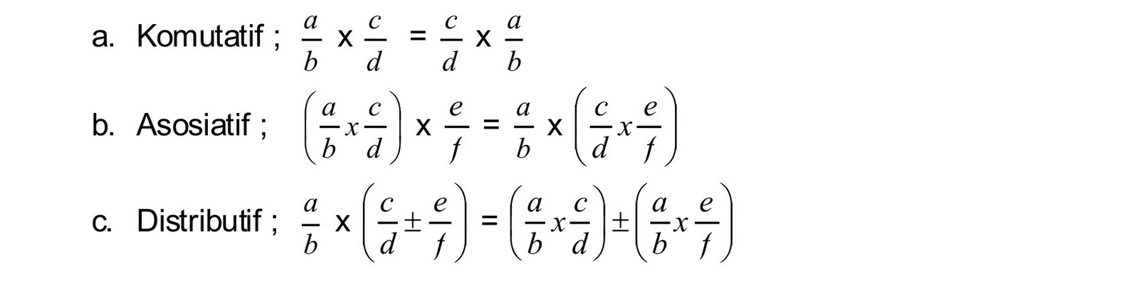
Sifat-sifat yang berlaku pada perkalian pecahan jika a, b, c, d, e, dan f adalah sembarang bilangan bulat adalah:
Secara umum pembagian pada pecahan dapat dilakukan dengan cara sebagai berikut :
Contoh Soal-soal
1. Uang simpanan Ghulam 4 kali lebih banyak dari uang simpanan Asri. Jika jumlah uang simpanan mereka Rp. 120.000,00 maka berapakah uang simpanan Asri?
2. Perbandingan jumlah buah apel Leni : buah apel Bibah adalah 3 : 2 sedangkan perbandingan buah apel Bibah : buah apel Siti adalah 4 : 5. Jika jumlah buah apel mereka semuanya adalah 45 buah, maka berapakah buah apel yang dimiliki Siti?
Jawab :
Perbandingan apel Leni : apel Bibah = 3 : 2
sedangkan apel Bibah : apel Siti = 4 : 5
Jadi perbandingan buah apel mereka adalah = 6 : 4 : 5
Dan jumlah perbandingan mereka adalah = 6 + 4 + 5 = 15
![]() |














